선형 이진 분류 문제에 강력한 알고리즘인 로지스틱 회귀.
이름과 달리 분류 모델임을 주의해야 한다.
이진 분류가 아닐 경우 소프트맥스 회귀(다항 로지스틱 회귀)를 통해 문제를 해결할 수 있다.
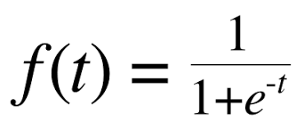
logistic function은 odds비(특정 이벤트가 발생할 확률)의 로그형태에 대한 역함수로서 구할 수 있다.
그리고 이 함수를 로지스틱 시그모이드함수, 간단하게 시그모이드 함수라고 한다.

t 대신에 x.transpose * theta를 넣어서 이진분류에 보다 직관적으로 사용하기도 한다.
아무튼, t >0 에서 1로 분류 t<0에서 0으로 분류를 하고 t=0에서는 애매하고 어느 특정 점에서의 확률은 존재하지 않기 때문에 따로 정의하지는 않는다.

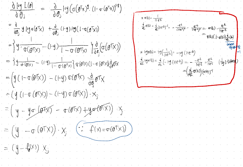
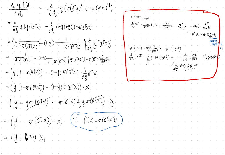
조금 악필이긴 하지만 다음과 같은 과정을 통해
Log-likelihood의 Derivative를 구할 수 있다.
그리고 그 derivatives 값을 최소화하도록 한다.
from sklearn.linear_model import LogisticRegression
logreg = LogisticRegression(C=1e5, fit_intercept=True)
# Create an instance of Logistic Regression Classifier and fit the data.
X = iris_X.to_numpy()[:,:2]
Y = iris_y2
logreg.fit(X, Y)
xx, yy = np.meshgrid(np.arange(x_min, x_max, h), np.arange(y_min, y_max, .02))
Z = logreg.predict(np.c_[xx.ravel(), yy.ravel()])
# Put the result into a color plot
Z = Z.reshape(xx.shape)
plt.pcolormesh(xx, yy, Z, cmap=plt.cm.Paired)
# Plot also the training points
plt.scatter(X[:, 0], X[:, 1], c=Y, edgecolors='k', cmap=plt.cm.Paired)
plt.xlabel('Sepal length')
plt.ylabel('Sepal width')
plt.show()
로지스틱회귀를 scikit-learn을 통해 적용하면 위와 같다.
C : float, default=1.0
Inverse of regularization strength; must be a positive float.
Like in support vector machines, smaller values specify stronger
regularization.
파라미터 C의 값은 값이 작을 수록 더 강한 규제를 걸게 된다. 즉 모델의 일반화에 중점을 준다. 정확도는 감소할 수 있음
반대로 C의 값은 값이 클 수록 더 약한 규제를 걸 것이고 모델의 일반화보다는 test set에 초점을 둔 복잡한 모델을 만든다.
로지스틱 회귀에 규제를 적용할 수도 있다.
penalty : {'l1', 'l2', 'elasticnet', None}, default='l2'
Specify the norm of the penalty:
- `None`: no penalty is added;
- `'l2'`: add a L2 penalty term and it is the default choice;
- `'l1'`: add a L1 penalty term;
- `'elasticnet'`: both L1 and L2 penalty terms are added.
.. warning::
Some penalties may not work with some solvers. See the parameter
`solver` below, to know the compatibility between the penalty and
solver.
.. versionadded:: 0.19
l1 penalty with SAGA solver (allowing 'multinomial' + L1)
.. deprecated:: 1.2
The 'none' option was deprecated in version 1.2, and will be removed
in 1.4. Use `None` instead.
소프트맥스 함수는 다음과 같은 과정을 거친다.
# https://scikit-learn.org/stable/auto_examples/linear_model/plot_iris_logistic.html
from sklearn.linear_model import LogisticRegression
logreg = LogisticRegression(C=1e5, multi_class='multinomial')
# Create an instance of Softmax and fit the data.
logreg.fit(X, iris_y)
Z = logreg.predict(np.c_[xx.ravel(), yy.ravel()])
# Put the result into a color plot
Z = Z.reshape(xx.shape)
plt.pcolormesh(xx, yy, Z, cmap=plt.cm.Paired)
# Plot also the training points
plt.scatter(X[:, 0], X[:, 1], c=iris_y, edgecolors='k', cmap=plt.cm.Paired)
plt.xlabel('Sepal length')
plt.ylabel('Sepal width')
plt.show()
multinomial에 집중하자.
각 샘플이 어떤 클래스에 속할 확률을 predict_proba 메서드를 사용해 구할 수 있다.
아래는 소프트맥스 함수를 사용한 경우의 확률 값과 클래스 분류값이다. (확률이다 보니 행을 기준으로 합하면 1이 된다)
logreg.predict_proba(X[:5,:])
logreg.predict_proba(X[:5,:]).argmax(axis=1)
# = logreg.predict(X[:5,:])
array([[0.92347315, 0.0585081 , 0.01801875],
[0.791565 , 0.18091265, 0.02752235],
[0.94236404, 0.05086345, 0.00677251],
[0.94055354, 0.05375943, 0.00568703],
[0.96185313, 0.02961439, 0.00853248]])
array([0, 0, 0, 0, 0], dtype=int64)'IE & SWCON > Machine Learning' 카테고리의 다른 글
| Kernel Trick (1) | 2023.11.27 |
|---|---|
| SVM(Support Vector Machine) (1) | 2023.11.27 |
| Regression Line fitting - 선형 회귀/Normal Equation/Non-linear(polynomial)/릿지,라쏘 규제 (0) | 2023.11.26 |
| [혼공머딥] chapter 6 - 교재 外 심화과정 (0) | 2023.08.30 |
| [혼공머딥] chapter 6 (0) | 2023.08.29 |