글과 사진, 그리고 이야기

IE & SWCON/Machine Learning 11

Kernel Trick

kernel methods에서는 선형적으로 분류가 불가능한 모델에 대해서 일종의 mapping function을 사용해 차원을 확장시키고 그 후 역과정을 거쳐 boundary를 만들게 된다. 선형대수학에서 배운 개념인 linear transformation을 생각하면 쉽다. theta에 대해서는 선형성을 가지므로 최소제곱법 알고리즘을 사용할 수 있고 x에 대해서는 비선형적이라서 모델 내 데이터를 꽤 복잡하게 만들도록 핸들링할 수 있다. 다음과 같은 trick을 사용하면 시간을 줄이게 된다. kernel trick은 지도학습과 비지도학습 모두에서 사용할 수 있다. -지도학습에서 아주 강력하다고 볼 수 있음- kernel trick은 복잡한 비선형 feature를 아주 약간의 추가적인 계산비용만으로 문제를 ..

SVM(Support Vector Machine)

마진을 최대화하는 알고리즘 마진이란 클래스를 구분하는 초평면(결저 경계)과 가장 가까운 train sample 사이의 거리로 정의한다. 그리고 그 샘플은 서포트 벡터라고 한다. 마진의 개념에 대해서 잘 이해할 수 있는 그래프이다. 결국 마진, 거리의 개념을 최대화하는 아이디어에 대해 생각해봐야한다. 조금 평면을 확장시켜서 다음과 같이 가정할 수 있다. x0는 초평면 위의 벡터이므로 초평면 방정식에 대입하게 되면 오른쪽과 같은 식을 얻을 수 있다. 우리가 궁금한 것은 gamma(i), dist 거리에 대한 정보이기 때문에 최종적으로 위와 같은 식이 나온다. 그리고 저 gamma를 geometric margin 이라고 부른다. margin_x0 = (theta.dot(x0) + theta0)[0] / np...

로지스틱 회귀를 사용한 클래스 확률 모델링

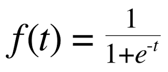
선형 이진 분류 문제에 강력한 알고리즘인 로지스틱 회귀. 이름과 달리 분류 모델임을 주의해야 한다. 이진 분류가 아닐 경우 소프트맥스 회귀(다항 로지스틱 회귀)를 통해 문제를 해결할 수 있다. logistic function은 odds비(특정 이벤트가 발생할 확률)의 로그형태에 대한 역함수로서 구할 수 있다. 그리고 이 함수를 로지스틱 시그모이드함수, 간단하게 시그모이드 함수라고 한다. t 대신에 x.transpose * theta를 넣어서 이진분류에 보다 직관적으로 사용하기도 한다. 아무튼, t >0 에서 1로 분류 t

Regression Line fitting - 선형 회귀/Normal Equation/Non-linear(polynomial)/릿지,라쏘 규제

회귀 선을 정하기 위해서는 주어진 Y,X를 잘 설명할 수 있는 beta 혹은 theta 라고 쓰는 coefficent와 intercept에 대해서 잘 알아야 한다. 1. 단순 선형 회귀 우선 단순히 선형회귀를 하는 방법으로는 코드만 일부 첨부하자면 regr = linear_model.LinearRegression() # fiiting regr.fit(diabetes_X_train, diabetes_y_train.values) # Make predictions on the training set diabetes_y_train_pred = regr.predict(diabetes_X_train) # The coefficients print('Slope (theta1): \t', regr.coef_[0]) pr..

[혼공머딥] chapter 6 - 교재 外 심화과정

* 혼자공부하는 머신러닝+딥러닝의 교재의 학습 요약 내용입니다 https://hongong.hanbit.co.kr/%ED%98%BC%EC%9E%90-%EA%B3%B5%EB%B6%80%ED%95%98%EB%8A%94-%EB%A8%B8%EC%8B%A0%EB%9F%AC%EB%8B%9D-%EB%94%A5%EB%9F%AC%EB%8B%9D/ 혼자 공부하는 머신러닝+딥러닝 혼자 공부하는 머신러닝 딥러닝, 무료 동영상 강의, 머신러닝+딥러닝 용어집을 다운로드 하세요. 포기하지 마세요! 독학으로 충분히 하실 수 있습니다. ‘때론 혼자, 때론 같이’ 하며 힘이 되겠 hongong.hanbit.co.kr * 경희대학교 데이터분석 동아리 KHUDA의 2023년 8월 기초세션 5주차 학습내용입니다. https://cafe.na..

[혼공머딥] chapter 6

* 혼자공부하는 머신러닝+딥러닝의 교재의 학습 요약 내용입니다 https://hongong.hanbit.co.kr/%ED%98%BC%EC%9E%90-%EA%B3%B5%EB%B6%80%ED%95%98%EB%8A%94-%EB%A8%B8%EC%8B%A0%EB%9F%AC%EB%8B%9D-%EB%94%A5%EB%9F%AC%EB%8B%9D/ 혼자 공부하는 머신러닝+딥러닝 혼자 공부하는 머신러닝 딥러닝, 무료 동영상 강의, 머신러닝+딥러닝 용어집을 다운로드 하세요. 포기하지 마세요! 독학으로 충분히 하실 수 있습니다. ‘때론 혼자, 때론 같이’ 하며 힘이 되겠 hongong.hanbit.co.kr * 경희대학교 데이터분석 동아리 KHUDA의 2023년 8월 기초세션 5주차 학습내용입니다. https://cafe.na..

[혼공머딥] chapter 5

* 혼자공부하는 머신러닝+딥러닝의 교재의 학습 요약 내용입니다 https://hongong.hanbit.co.kr/%ED%98%BC%EC%9E%90-%EA%B3%B5%EB%B6%80%ED%95%98%EB%8A%94-%EB%A8%B8%EC%8B%A0%EB%9F%AC%EB%8B%9D-%EB%94%A5%EB%9F%AC%EB%8B%9D/ 혼자 공부하는 머신러닝+딥러닝 혼자 공부하는 머신러닝 딥러닝, 무료 동영상 강의, 머신러닝+딥러닝 용어집을 다운로드 하세요. 포기하지 마세요! 독학으로 충분히 하실 수 있습니다. ‘때론 혼자, 때론 같이’ 하며 힘이 되겠 hongong.hanbit.co.kr * 경희대학교 데이터분석 동아리 KHUDA의 2023년 8월 기초세션 1주차 학습내용입니다. https://cafe.na..

[혼공머딥] chapter 4

* 혼자공부하는 머신러닝+딥러닝의 교재의 학습 요약 내용입니다 https://hongong.hanbit.co.kr/%ED%98%BC%EC%9E%90-%EA%B3%B5%EB%B6%80%ED%95%98%EB%8A%94-%EB%A8%B8%EC%8B%A0%EB%9F%AC%EB%8B%9D-%EB%94%A5%EB%9F%AC%EB%8B%9D/ 혼자 공부하는 머신러닝+딥러닝 혼자 공부하는 머신러닝 딥러닝, 무료 동영상 강의, 머신러닝+딥러닝 용어집을 다운로드 하세요. 포기하지 마세요! 독학으로 충분히 하실 수 있습니다. ‘때론 혼자, 때론 같이’ 하며 힘이 되겠 hongong.hanbit.co.kr * 경희대학교 데이터분석 동아리 KHUDA의 2023년 8월 기초세션 1주차 학습내용입니다. https://cafe.na..

[혼공머딥] chapter3

* 혼자공부하는 머신러닝+딥러닝의 교재의 학습 요약 내용입니다 https://hongong.hanbit.co.kr/%ED%98%BC%EC%9E%90-%EA%B3%B5%EB%B6%80%ED%95%98%EB%8A%94-%EB%A8%B8%EC%8B%A0%EB%9F%AC%EB%8B%9D-%EB%94%A5%EB%9F%AC%EB%8B%9D/ 혼자 공부하는 머신러닝+딥러닝 혼자 공부하는 머신러닝 딥러닝, 무료 동영상 강의, 머신러닝+딥러닝 용어집을 다운로드 하세요. 포기하지 마세요! 독학으로 충분히 하실 수 있습니다. ‘때론 혼자, 때론 같이’ 하며 힘이 되겠 hongong.hanbit.co.kr * 경희대학교 데이터분석 동아리 KHUDA의 2023년 8월 기초세션 1주차 학습내용입니다. https://cafe.na..

[혼공머딥] chapter 1,2

* 혼자공부하는 머신러닝+딥러닝의 교재의 학습 요약 내용입니다 https://hongong.hanbit.co.kr/%ED%98%BC%EC%9E%90-%EA%B3%B5%EB%B6%80%ED%95%98%EB%8A%94-%EB%A8%B8%EC%8B%A0%EB%9F%AC%EB%8B%9D-%EB%94%A5%EB%9F%AC%EB%8B%9D/ 혼자 공부하는 머신러닝+딥러닝 혼자 공부하는 머신러닝 딥러닝, 무료 동영상 강의, 머신러닝+딥러닝 용어집을 다운로드 하세요. 포기하지 마세요! 독학으로 충분히 하실 수 있습니다. ‘때론 혼자, 때론 같이’ 하며 힘이 되겠 hongong.hanbit.co.kr * 경희대학교 데이터분석 동아리 KHUDA의 2023년 8월 기초세션 1주차 학습내용입니다. https://cafe.na..